移至網頁之主要內容區位置
::: index

優秀民富

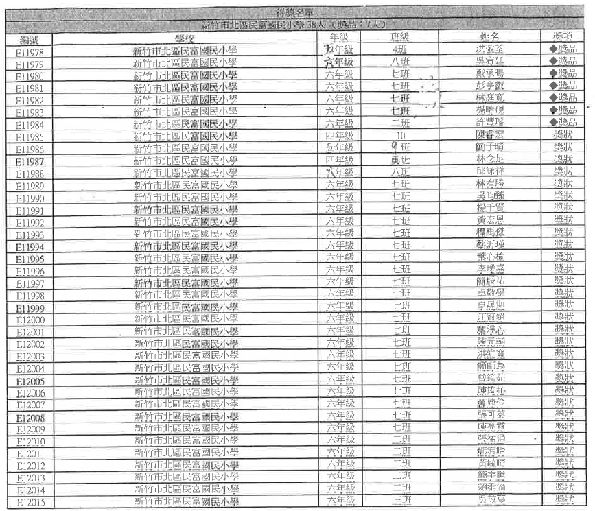
賀~114學年度Cool English 獲獎學生名單

{{ $t('FEZ002') }} 教務處|

 

~~恭喜獲獎同學~~



{{ $t('FEZ003') }} Invalid date

{{ $t('FEZ004') }} 2026-01-12|

{{ $t('FEZ005') }} 202|